ФГБНУ «НАУЧНЫЙ ЦЕНТР ПСИХИЧЕСКОГО ЗДОРОВЬЯ»
Оценка риска манифестации эндогенных приступообразных психозов у больных юношеского возраста с непсихотическими формами психических расстройств
Методические рекомендации
Д.м.н. В.Г.Каледа,
к.м.н. М.А.Омельченко,
аспирант А.О.Румянцев
Москва, 2015
Аннотация
Представленная технология оценки риска манифестации эндогенных приступообразных психозов у больных юношеского возраста с неманифестными формами психических расстройств позволяет на этапе первичной оценки обнаружить группы высокого и ультравысокого риска по развитию шизофрении. Предложенная пошаговая инструкция дает возможность последовательно выявить признаки, имеющие прогностическое значение в отношении развития эндогенных психозов и по степени их выраженности и сочетании с другими предикторными маркерами определить уровень риска эндогенного приступообразного психоза.
Обследованию, которое носит характер скрининга, подлежат больные юношеского возраста (16-25 лет), с непсихотическими формами психических расстройств, которые первично обращаются за специализированной психиатрической медицинской помощью. Настоящая технология направлена на выявление таких признаков риска как субпсихотические расстройства (повторяющиеся ослабленные, подпороговые психотические симптомы); транзиторные психотические симптомы (короткие ограниченные во времени интермиттирующие психотические симптомы); значительное ухудшение преморбидного функционирования; наследственная отягощенность, т.е. родственники первой степени с психотическим заболеванием или шизотипическим расстройством. Инструментами служат психометрические шкалы оценки продромальных симптомов SOPS, оценки преморбида PAS, а также шкала Гамильтона для выявления депрессии во избежание получения ложноположительных результатов, а также молекулярно-генетический метод для выявления патогномоничных для шизофрении генотипов. Степень выраженности и сочетание указанных аномалий позволяет исследователю отнести больного к группе высокого, ультравысокого риска или опровергнуть его. Предложенная методика позволяет провести дифференциальную диагностику с достаточной точностью, что способствует не только раннему выявлению эндогенных приступообразных психозов, но и обосновывает назначение превентивной нейролептической терапии. Такая тактика ведения больных может позволить не только отсрочить наступление манифестации заболевания, но и снизить уровень его прогредиентности.
Ключевые слова: продром, группы высокого риска, группа ультра-высокого риска, юношеский возраст, эндогенный приступообразный психоз, шизофрения, шкала SOPS, шкала PAS, преморбидный уровень функционирования
Содержание
Введение……………………………………………………………………………………4
Сокращения………………………………………………………………………………...5
Показания к использованию технологии………………………………………………...6
Описание технологии……………………………………………………………………...7
Приложение 1 (Шкала оценки продромальных симптомов SOPS)…………………….14
Приложение 2 (Шкала оценки преморбида PAS)………………………………………..22
Приложение 3 (Карта первичной оценки больных)……………………………………..27
Литература………………………………………………………………………………….29
Введение
Одной из актуальных задач современной психиатрии остается первичная профилактика заболеваний шизофренического спектра, целью которой является не только установление и попытки минимизации факторов этиологического риска, но и разработка системы мер предупреждения развития эндогенного процесса. Проводятся исследования по поиску клинических [Yung A. et al., 2004; Cannon T. et al., 2008] и биологических [Клюшник Т.П. с соавт., 2014; Lappin J. et al., 2007; Dazzan P. et al., 2012] маркеров шизофрении на доманифестном этапе. Предпринимаются попытки проспективного выявления аномалий, патогномоничных для шизофрении [Каледа В.Г. с соавт., 2012; Keshavan M. et al., 2005] и ретроспективного установления их корреляций с психопатологической симптоматикой уже манифестировавшего заболевания [Сергеева О.Е. с соавт., 2014; Cuesta M. et al., 2002]. По данным исследования [McGorry P. et al., 2002] раннее вмешательство на продромальном этапе заболевания оказывает благоприятное влияние на его дальнейшее течение. Суммируя результаты проведенных исследований [Сергеева О.Е. с соавт., 2014; Омельченко М.А. с соавт., 2014;Yung A. et al., 1996, 1998; Demjaha A. et al., 2010], были разработаны критерии т.н. группы «высокого риска» и «ультравысокого риска», которые включали как минимум один из нижеперечисленных признаков: 1) повторяющиеся ослабленные, подпороговые психотические симптомы (субпсихотические симптомы: идеи отношения, магическое мышление, нарушения восприятия, паранойяльные идеи, необычное мышление и речь); 2) транзиторные психотические симптомы (короткие ограниченные во времени интермиттирующие психотические симптомы); 3) наличие наследственной отягощенности, т.е. родственников первой степени с психотическим заболеванием или шизотипическим расстройством, а также шизотипическое расстройство у самого больного со значительным ухудшением преморбидного функционирования как минимум в течение месяца (но не более 5 лет); 4) наличие «базисных» симптомов, которые представляют собой субъективно выявляемые нарушения в сферах перцепции, мышлении, речи и внимании, по своей структуре не относящиеся к классическим психотическим расстройствам (трудности концентрации внимания, нарушения экспрессивной речи и восприятия речи, расстройства абстрактного мышления, рассеянность с аффектом недоумения, обрывы мыслей, шперрунги, персеверации, нестойкие идеи отношения, явления дереализации, элементарные обманы восприятия). Существует некоторое противоречие в описании «базисных» симптомов. С одной стороны, их сочетание с тремя другими критериями «ультравысокого» риска существенно повышает риск манифестации [Rurhmann S. et al., 2010], а с другой стороны, проведенные скрининговые исследования популяции здоровых подростков показали, что они встречаются у каждого 10 ребенка [Schimmelmann B. et al., 2013], таким образом, было даже предложено относить эти симптомы к возрастной норме. Однако, при проведении телефонного интервьюирования более взрослого населения (16-40 лет) была выявлена значительно меньшая встречаемость «базисных» симптомов, всего 2% [Schimmelmann B. et al., 2011]. В настоящее время принята рабочая гипотеза [Yung A. et al., 1998, 2010], по которой риск манифестации оценивается по наличию хотя бы одного «полноценного» позитивного психотического симптома, возникающего несколько раз в неделю по крайней мере в течение 1 месяца или как минимум одного «полноценного» психотического симптома, персистирующего в течение хотя бы одного дня, существенно дезорганизующего поведение или являющегося опасным. По данным авторов манифестация психоза в группе ультравысокого риска составляет в течение 6 месяцев – 18% (12-25%), в течение года – 22% (17-28%), в течение 2 лет – 29% (23-36%), в течение 3 лет - 32% (24-35%), и более 3 лет (3-5 лет) – 36% (30-43%) [Fusar-Poli P et al., 2007, 2010, 2012; Kessler R. et al., 1993; Rurhmann S. et al., 2010; Ziermans T. et al., 2011]. Было проведено несколько работ о катамнезе пациентов из группы риска, у которых эндогенный психоз не манифестировал [Simon A. et al., Addington J. et al., 2011], приводятся данные о существенной положительной динамике в отношении не только отдельных психотических явлений, а также негативных расстройств. Однако у таких пациентов в целом уровень социального и ролевого функционирования остается на сниженном уровне, по сравнению с когортой здоровых [Addington J. et al., 2011]. Также исследования [Yung A. et al., 2011] показали, что психоз в группе риска может манифестировать и через 10 лет после появления «продромальных» симптомов. Однако следует отметить, что проведенные исследования носили характер наблюдательных и не решали вопрос о влиянии психофармакотерапии на риск манифестации эндогенного психоза.
Предложенная технология оценки риска манифестации эндогенных приступообразных психозов у больных юношеского возраста с неманифестными формами психических расстройств позволяет выявить группы высокого и ультравысокого риска для разработки оптимальной тактики ведения больных с целью предотвращения манифестации заболевания и снижения уровня его прогредиентности.
Сокращения
ЭПП – эндогенный приступообразный психоз
УВР – ультравысокий риск по развитию ЭПП
ВР – высокий риск по развитию ЭПП
Показания к использованию технологии
Технология применяется для выявления УВР и ВР у больных юношеского возраста (16-25 лет) с непсихотическими формами психических расстройств, которые первично обращаются за специализированной психиатрической медицинской помощью с предварительными диагнозами по МКБ-10: расстройства настроения (F31.3, F31.4, F32 (кроме F32.2), F33 (кроме F33.3), F34.), расстройства личности (F60), шизотипическое расстройство (F21).
Обследованию не подлежат больные с ранее перенесенными психотическими приступами, органическим психическим расстройством, алкоголизмом, наркоманией, умственной отсталостью, а также клинически значимой соматической или неврологической патологией, которая в острой фазе болезни может способствовать получению ложноположительных результатов.
Предложенная методика подходит как для врачей психиатрических стационаров, так и для психиатров амбулаторного звена, проводящих первичное обследование больных. Доступность психометрических шкал и клинико-психопатологического анализа, включая сбор анамнестических сведений, позволяет без существенного увеличения времени приема первичного пациента провести полноценное скрининговое обследование, имеющее определяющее клиническое значение для выбора терапевтической тактики. Исключением является лишь доступность молекулярно-генетического метода, применяемого для выявления патогномоничных для ЭПП генотипов. Однако этот метод может быть успешно заменен стандартной практикой получения сведений о наследственной отягощенности.
Настоящая технология способствует раннему выявлению ЭПП, сокращению длительности нелеченного периода заболевания, что по данным исследователей приводит к уменьшению прогредиентности, сохранению социально-трудовой адаптации, а также меньшей степени выраженности когнитивных и негативных расстройств на отдаленных этапах заболевания.
Как ожидается, представленная технология станет значимым шагом для совершенствования доклинической диагностики и профилактики неблагоприятного течения шизофрении и разработки тест-системы индивидуального прогноза течения шизофрении, что станет важным шагом по разработке персонифицированной терапии данного контингента больных.
Описание технологии
Алгоритм пошагового выявления признаков УВР и ВР в когорте больных юношеского возраста с непсихотическими формами психических расстройств.
|
ШАГ 1
Скрининговое обследование по шкале SOPS

ШАГ 2
Скрининговое обследование по шкале PAS

ШАГ 3
Выявление наследственной отягощенности

ШАГ 1
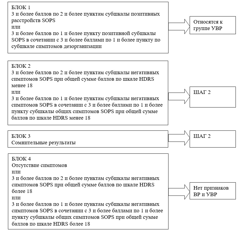
Для первичного выявления признаков УВР и ВР в указанной когорте все больные юношеского возраста с непсихотическими формами психических расстройств подлежат оценке по шкале SOPS (The Scale of Prodromal Symptoms), которая предназначена для выявления скрытой или кратковременной шизофреноподобной симптоматики на продромальном этапе. Шкала является «непсихотическим» аналогом шкалы PANSS и BPRS и позволяет оценить степень выраженности симптоматики продромального этапа по 4 направлениям: позитивные, негативные симптомы, степень дезорганизации и общие симптомы (см. Приложение 1). Признаки УВР у больных в первую очередь выявляются при оценке позитивных расстройств и являются очевидными, если их степень выраженности достигает 3 и более баллов по 2 и более пунктам позитивной субшкалы SOPS или 3 и более баллов по 1 и более пункту позитивной субшкалы SOPS в сочетании с 3 и более баллами по 1 и более пункту по субшкале симптомов общей дезорганизации. Указанные расстройства представлены преимущественно напряженным или бредовым настроением, неперсекуторными идеями отношения, нарушениями функции мышления с жалобами на наплыв и обрыв мыслей, отчетливой подозрительностью, настороженностью или недоверчивостью, необычными сенсорными явлениями, такими как искажение или притупления чувств, яркие представления и иллюзии, а также неопределенностью, метафоричностью речи с растормаживанием ассоциативного процесса. У больных возникают мысли необычного содержания, убеждения сверхценного характера преимущественно на религиозные, философские и другие экзистенциальные темы, магическое мышления с поиском скрытой связи между происходящими событиями, открытием «шестого чувства». Может сформироваться отчетливое бредовое настроение, изменение восприятия времени, явления дежа вю, патогномоничные нарушения мышления в виде наплывов и обрывов мыслей. Появляется несвойственная больным ранее настороженность в общении с посторонними людьми, возникает смутное ощущение опасности, угрозы. Имеющаяся симптоматика оказывает влияние на поведение с ограничением пользования общественным транспортом, отказом от выхода на улицу в темное время суток. Речь становится нецеленаправленной, суждения путаными, нарушается процесс установления логических связей между явлениями. В некоторых случаях выявляются отчетливые идеи отношения, сопровождающиеся подозрительностью, открытой недоверчивостью, враждебностью, что отражается на общении и поведении. Пациенты эпизодически высказывают бредовые идеи внешнего контроля, получения посланий посредством радио- и телепередач. Убеждения отличаются непостоянством и не достигают степени систематизированных. Больные отмечают искажения сенсорного восприятия, могут возникать необычные, неоформленные расстройства в перцептивной сфере (шумы, вспышки), что сопровождается беспокойством и аффектом недоумения. Мышление становится паралогичным, стереотипным, бесцельным, отмечаются частые соскальзывания, возникают неожиданные ассоциации. Симптомы дезорганизации проявляются странностями поведения с импульсивностью, неадекватным ситуации аффектом, диспластичностью с изменениями поведения, чудачеством, несоблюдением социальных норм, пренебрежением гигиеной, неухоженностью, а также несвойственной ранее манерностью и позерством.
Выявление расстройств по субшкале негативных симптомов и общих симптомов SOPS при первичной оценке необходимо рассматривать в связи с депрессивными расстройствами, оцениваемыми по шкале Гамильтона для выявления депрессии (HDRS - Hamilton Depression Rating Scale) во избежание получения ложноположительных результатов. У больных юношеского возраста с непсихотическими психическими расстройствами чаще всего депрессивную симптоматику можно квалифицировать как депрессия средней степени тяжести (более 18 баллов по шкале HDRS), что коррелирует с суммарным баллом по субшкале негативных симптомов SOPS. Такие расстройства, как социальная изоляция, чрезмерная социальная тревога, уменьшающаяся в одиночестве, снижение активности и интереса к прежним увлечениям, выявляющиеся у больных при поступлении, могут быть частично обусловлены непосредственно депрессивным аффектом. У больных могут выявляются значительные нарушения в сфере эмоциональной экспрессии, обеднение эмпатии, уплощение и укорочение эмоционального ответа на психологически значимую ситуацию, снижение спонтанной речевой активности. Существенное место занимают различной степени выраженности явления деперсонализации, проявляющиеся в ощущении отчужденности в беседе, собственной измененности с чувством отчуждения эмоций, нереальности и странности происходящего. К общим симптомам относятся стойкие нарушения сна, преобладание дисфории и снижения толерантности к стрессу.
ШАГ 2
При отсутствии отчетливого депрессивного аффекта последующая оценка больных по шкале преморбидного функционирования (PAS - Premorbid Adjustment Scale, адаптированная для больных юношеского возраста S. Mastrigt, J. Addington, 2002) выявляет нарушения в области социальной активности, межличностных взаимоотношений, включая и отношения с противоположным полом, а также учебной и трудовой деятельности*, что позволяет провести дифференциальную диагностику полученных результатов и выявить группу УВР и ВР.
При оценке по шкале PAS можно выявить как сам факт снижения уровня преморбидного функционирования, так и оценить его продолжительность (Приложение 2). Шкала предназначена для оценки преморбидного функционирования. Преморбид оценивается как период, оканчивающийся за 12 месяцев до манифестации психотической симптоматики. Оценка производится от 0 до 6 баллов, где 0 – наилучший показатель, 6 – наихудший. Затем все баллы, набранные по каждому пункту субшкалы, суммируются и полученный результат делится на сумму максимально возможных результатов по каждому показателю субшкалы. Средний показатель оценки преморбида высчитывается как среднее арифметическое из полученных результатов по всем субшкалам. Шкала состоит из субшкал, позволяющих оценить уровень функционирования по возрастным периодам: детство – до 11 лет, ранний подростковый период – 12-15 лет, поздний подростковый период – 16-18 лет, взрослый период – с 19 лет, а также оценить общие характеристики преморбидного функционирования на момент обследования.
Уровень преморбидного функционирования, оцененный выше 0,53 определяется как низкий и характеризуется выраженной социальной отгороженностью, безынициативностью, вплоть до избегания социальных контактов. Межличностные отношения носят характер девиантных или формальных, в крайних случаях наступает социальная изоляция. Страдает уровень успеваемости и учебная адаптация с прогулами, дисциплинарными нарушениями, оставлением на второй год и даже исключениями из школы. Нарушается формирование привязанностей с отсутствием заинтересованности лицами противоположного пола, а также расстройствами перверзионного характера. Это приводит к значительному снижению качества жизни с нарастанием учебно-трудовой дезадаптации, ограничению интересов и падению жизненного тонуса.
Оценка уровня преморбидного функционирования в интервале значений от 0,53 до 0,23 отражает его снижение до нижней границы условной нормы и характеризуется как «пограничный». Такие пациенты выделяются среди сверстников пассивностью, социальной и эмоциональной отгороженностью, однако при поощрении способны влиться в учебный коллектив и занять свою нишу в нем. При этом сохраняется трудность поддержания межличностных контактов с доминированием формального общения. Адаптация и успеваемость может быть как стабильно сниженной, так и неровной с периодическими эпизодами прогулов и дисциплинарных нарушений. Страдают и отношения с лицами с противоположным полом со снижением заинтересованности в них или искажением влечений. В целом, качество жизни больных сохраняется на сниженном уровне с некоторым ограничением сферы интересов и спектра активности со склонностью к пассивности, непереносимостью стрессовых ситуаций.
Значения уровня преморбидного функционирования в диапазоне ниже 0,23 свидетельствует о психической «норме», принятой в социуме. Пациенты со школьных лет активны, деятельны, контакты с окружающими носят не только формальный, но и дружеский характер, отношения с лицами противоположного пола наступают своевременно и являются полноценными с формированием эмпатии и эмоциональной привязанности. Уровень образования соответствует возрасту больных. Ими предпринимаются успешные попытки к самостоятельности. Качество жизни находится на высоком уровне с многочисленными увлечениями и хобби, активностью и заинтересованностью по всем аспектам жизни.
ШАГ 3.
Понятия УВР и ВР устанавливаются с учетом наследственной отягощенности со стороны родственников первой степени родства такими расстройствами шизофренического спектра, как шизофрения, шизоаффективный психоз и шизотипическое расстройство. В случае доступности проведения молекулярно-генетического метода критериями риска служит выявление патогномоничных для ЭПП генетических аномалий [Thompson K. et. al, 2001], к которым относятся генотип СС полиморфизма Т102С гена рецептора серотонина и комбинации генотипа LL гена переносчика серотонина с генотипом мозгового нейротрофического фактора, содержащим аллель Met. Выбор этих генотипов обоснован данными литературы, по которым рецепторы серотонина типа 2а (5-HTR2A) обнаружены в передней коре и гиппокампе головного мозга, т.е. в участках, связанных с патологическими процессами, имеющими место при шизофрении. Оказалось, что их плотность снижена в мозге больных шизофренией по сравнению с психически здоровыми людьми [Hernandez L., Sokolov B., 2000]. В гене серотонина 5-HTR2A, расположенном на хромосоме 13, описан участок, в котором тимин может быть замещен цитозином в положении 102 – его обозначают как полиморфизм Т102С. В нескольких исследованиях сообщалось об ассоциации генотипа СС с шизофренией, а также с некоторыми ее клиническими проявлениями. Переносчик серотонина играет важную роль в регуляции этого медиатора за счет его обратного захвата из синаптической щели. В соответствующем гене на хромосоме 17 в районе, примыкающем к промотору, имеется полиморфный участок, представленный различным числом повторяющихся последовательностей (повторов) ДНК, обозначаемый в литературе как полиморфизм 5-HTTLPR (5-hydroxytriptamine gene-linked polymorphic region). В случае, когда аллель содержит 16 повторов, его называют длинным (L), при 14 – коротким (S). Показано, что активность экспрессии гена при наличии аллеля L выше, чем для аллеля S [Lesch K., Bendel D., Heol S. et al., 1996]. Ассоциация аллеля S с аффективными расстройствами, в том числе, депрессией, была описана в некоторых работах [Nellissery M., Fein R., Covarett L. et al., 2003; Nobile M., Cataldo M., Giorda R. et al., 2004; Hoefgen et al., 2005], однако связи полиморфизма 5-HTTLPR с шизофренией найдено не было [Serretti A., Lilli R., Lorenzi C. et al., 2002]. Нейротрофический фактор головного мозга (BDNF – brain-derived neurotrophic factor) активен в нейронах различного типа. Его функции связаны с дифференцировкой нейронов и формированием синапсов при развитии организма, а также с нейропротецией во взрослом мозге. Ген локализован на хромосоме 11 и содержит в одном из кодирующих участков однонуклеотидную замену, которая вызывает замещение валина на метионин в соответствующем белке. Этот полиморфизм, обозначаемый Val66Met, в последнее время интенсивно изучают у больных с различными психическими заболеваниями, в том числе с биполярными аффективными расстройствами [Neves-Pereira M., Mundo E., Muglia P. et al., 2002] и шизофренией [Neves-Pereira M., Cheung J., Pasdar A. et al., 2005]. Таким образом, выявление наследственной отягощенности у родственников I степени родства шизофренией, ШАП и шизотипическим расстройством или патогномоничных для этих заболеваний генотипов у самого больного позволяет отнести его к группе УВР или ВР.
Тактика дальнейшего ведения больных юношеского возраста с непсихотическими формами психических расстройств, у которых при проведении первичной оценке не было выявлено признаков ВР и УВР подразумевает после проведения курса купирующей терапии продолжение поддерживающего лечения антидепрессантами, что позволяет снизить возможность возникновения признаков дистресса и предотвратить повторное развитие активной фазы болезни.
При наличии признаков ВР рекомендовано как присоединение к основной схеме терапии мягких нейролептиков в небольших дозировках, так и последующее продолжение поддерживающей терапии ими, что способствует двойному действию, долечиванию активной фазы процесса и снижению степени его прогредиентности.
В случаях выявления отчетливых признаков УВР клинические рекомендации наиболее строгие. Для них рекомендовано проведение купирующей терапии с назначением средних в хлорпромазиновом эквиваленте терапевтических доз нейролептиков с продолжением амбулаторной сочетанной терапии нейролептиками и препаратами других классов, подобранных на этапе купирующего лечения.
Приложение 1
ШКАЛАОЦЕНКИПРОДРОМАЛЬНЫХСИМПТОМОВ
The Scale of Prodromal Symptoms (SOPS)
Milleretal. (1999) иMcGlashanetal. (2001)
СУБШКАЛА А
ПОЗИТИВНЫЕ СИМПТОМЫ
П1. Необычное содержание мыслей / бредовые мысли
Наличие одного или нескольких из следующих признаков:
а) напряженное или бредовое настроение. Что-то странное приходит в голову. Фрагментарность элементы нереальности происходящего. Близкие кажутся странными, вызывающими смущение, предвещающими угрозу, представляющими опасность и пр. Ощущение измененности себя и окружающих. Изменение восприятия времени. Дэжа вю;
б) неперсекуторные идеи отношения (включая нестойкий бред отношения);
в) нарушение функции мышления (наплыв, обрыв мыслей, персеверации, вкладывание, открытость, чтение мыслей);
г) другие убеждения сверхценного характера, охваченность ими (религия, медитация, философия, другие экзистенциальные темы). Магическое мышление, определяющее поведение и выходящее за пределы общепринятых в данной культуре норм (суеверие, ясновидение, «шестое чувство», необычные религиозные убеждения);
д) бредовые идеи относительно своего тела, вины, нигилизма, ревности, религиозного содержания, внешнего контроля, получение посланий посредством радио- и телепередач. Бредовые идеи могут присутствовать, но не постоянны и не достигают степени систематизированных.
Степень тяжести:
- отсутствуют;
- сомнительно: неожиданные мысли, чувства, движения, обращают на себя внимание, но быстро проходят;
- слабая степень: необычные явления, вызывающие недоумение, чувство, что что-то изменилось;
- умеренная степень: неожиданные расстройства мышления / идеи, которые не остаются незамеченными, вызывают напряжение и беспокойство. Возникающее чувство неожиданного психического опыта более отчетливо и продолжительно;
- сильно выраженная: ощущение, что возникающие переживания наведены из вне или болезненные убеждения реальны, при этом критика к состоянию сохранена;
- очень сильно выраженная, но не психотического уровня: охваченность идеями внешнего контроля, при этом возникают сомнения в истинности переживаний по контрасту с доболезненным состоянием или после убеждений окружающих;
- очень сильно выраженная психотического уровня: бредовые переживания, не поддающиеся переубеждению, как минимум интермиттирующего характера, определяющие поведение, влияющие на мышление и социальные взаимоотношения.
П2. Подозрительность / идеи преследования.
Наличие одного или более из следующих пунктов:
а) чрезмерная озабоченность причинами, определяющими поведение окружающих, недоверчивость;
б) подозрительность или параноидное мышление;
в) настороженность или открытая недоверчивость, отражающая бредовые установки и отражающаяся в общении и поведении.
Степень тяжести:
- отсутствие;
- сомнительная степень: осмотрительность;
- слабая степень: сомнение в собственной безопасности, чрезмерная бдительность без определения источника опасности;
- умеренная степень: ощущение, что окружающие ведут себя враждебно, озадаченность происходящим и недоверчивость;
- сильно выраженная: нестойкие идеи наблюдения, выделения. Убеждения быстро преходящи. Вызывают беспокойство и подозрительность.
- очень сильно выраженная непсихотического уровня: озабоченность идеями опасности, убежденность в том, что является центром враждебного внимания, временами возникает открытая подозрительность, но поведение в целом меняется минимально, критика может быть неполной, но без отчетливой убежденности;
- очень сильно выраженная психотического уровня: параноидные идеи, как минимум интермиттирующего характера, определяющие поведение.
П3 Идеи величия
Наличие одного или более из следующих пунктов:
а) чрезмерная самооценка и нереалистичное чувство превосходства;
б) экспансивность и хвастливость;
в) возможно наличие отчетливых бредовых идей величия, определяющих поведение.
- отсутствие;
- сомнительная степень: чувство собственного превосходства;
- слабая степень: идеи талантливости, исключительности, сохраняется чувство превосходства;
- умеренная степень: ощущение обладания особой силой, способностями, временами возникает экспансивность;
- сильно выраженная степень: нестойкие, быстро проходящие идеи особой силы, богатства;
- очень сильно выраженная непсихотического уровня: убежденность в неестественно высоком интеллекте, собственной привлекательности, силе, популярности. Критика может быть неполной, но убеждения не влияют на поведение;
- очень сильно выраженная психотического уровня: бредовые идеи величия как минимум интермиттирующего характера, определяющие поведение.
П4 Перцептивные расстройства / галлюцинации
Наличие одного или более из следующих пунктов по одной или более сенсорных сфер (слуховая, зрительная, соматическая, тактильная, обонятельная, вкусовая):
а) необычные сенсорные явления, усиление или притупление чувств, яркие представления, искажения, иллюзии;
б) псевдогаллюцинации или галлюцинации при сохранении осознания болезненности состояния;
в) периодическая потеря критики к состоянию, не влияющая на мышление и поведение.
0- отсутствие;
1- сомнительная степень: изменения в перцептивной сфере, усиление или ослабление чувств;
2- слабая степень: необычные, неоформленные перцептивные расстройства (шумы, вспышки и пр.), беспокойство;
3- умеренная степень: необычные отчетливые перцептивные расстройства (образы, геометрические фигуры, отчетливые звуки), аффект недоумения, беспокойство;
4- сильная степень: перцептивные искажения, иллюзии, псевдогаллюцинации (лица, фигуры, голоса), которые определяются как нереальные, не вызывающие сильного страха или охваченности;
5- очень сильная степень непсихотического уровня: одна или две отчетливые непродолжительные галлюцинации, могут сопровождаться другими слабовыраженными перцептивными расстройствами, не определяющие мышление и поведение;
6- очень сильно выраженные психотического уровня: галлюцинации, как минимум интермиттирующего характера (образы, голоса, другие сенсорные расстройства), воспринимаются как реальные, хотя бы минимально влияют на поведение, мышление.
П5 Расстройства мышления
Наличие одного или более из следующих пунктов:
а) странности мышления или речи, неопределенность, метафоричность, преувеличение, стереотипность;
б) беспорядочное или путаное суждение о чем-либо, ускорение или замедление мыслей, использование неправильных слов для описания, соскальзывание и нецеленаправленность речи;
в) стереотипное, бесцельное или паралогичное мышление, трудности в упорядочивании и выражении мыслей;
г) растормаживание ассоциативного процесса делает речь малопонятной.
- отсутствие;
- сомнительная степень: внезапные, выпадающие из контекста слова и фразы;
- слабая степень: неопределенная, беспорядочная, бессодержательная речь;
- умеренная степень: неправильно употребляемые слова, не относящиеся к предмету фразы, частое внезапное отклонение от темы разговора, метафоричность, стереотипии в речи, чрезмерная детализация;
- сильная степень: стереотипное или паралогичное мышление, трудности в управлении мыслями без потери ассоциативного процесса, периодически малопонятная речь;
- очень сильная степень непсихотического уровня: стереотипное или паралогичное мышление, нецеленаправленность речи, имеются трудности в направлении мыслей, потеря ассоциативных взаимосвязей при расспросах, временами малопонятная речь, что выявляется в ответах на вопросы;
- очень сильная степень психотического уровня: утеря продуктивности речи или неуместность, непонятность высказываний, потеря структуры речи, комплексное нарушение речи.
СУБШКАЛА Б
НЕГАТИВНЫЕ СИМПТОМЫ
Н1 Социальная изоляция и избегание
Наличие одного или более из следующих пунктов:
а) недостаток близких друзей или знакомых кроме родственников первой степени родства;
б) чрезмерная социальная тревога, не уменьшающаяся при дружеском общении и больше имеющая тенденцию к связи с параноидным страхом, чем с заниженной самооценкой;
в) болезненная симптоматика ослабляется в одиночестве, к которому больной и стремиться, хотя, если требуется, проявляет социальную активность, в общении инициативы не проявляет;
г) пассивно соглашается с проявлением социальной активности, но без интереса, механически с тенденцией пасовать перед малейшими трудностями.
0- отсутствие
1- сомнительная степень: некоторая «неуклюжесть» в социальном плане при сохранении социальной активности;
2- слабая степень: снижение заинтересованности в общественной деятельности, при сохранении социализации;
3- умеренная степень: неохотное участие в социальной деятельности, отсутствие интереса, социальная пассивность;
4- сильно выраженная степень: круг общения ограничен преимущественно семьей, дефицит дружеских связей, социальная апатия, минимальное участие в общественной деятельности;
5- очень сильно выраженная степень: значительные трудности во взаимоотношениях, отсутствие близких друзей, большую часть времени проводит в одиночестве или с родственниками первой степени родства;
6- крайняя степень выраженности: друзей нет, общение носит только формальный характер, практически все время одинок.
Н2 Самоустранение
Наличие одного или более из следующих пунктов:
а) нарушения в начале, поддержании и контроле целенаправленной деятельности;
б) потеря активности, энергичности, продуктивности;
в) отсутствие интереса к занятиям, требующим усилий или длительного времени выполнения.
0- отсутствие;
1- сомнительная степень: снижение способности целенаправленной деятельности;
2- слабая степень: низкий уровень энергии, простые задачи требуют больших затрат времени и усилий, чем это необходимо в норме;
3- умеренная степень: низкий уровень мотивации при выполнении целенаправленных действий, снижение инициативности в постановке и выполнении задач, решение задачи требует дополнительной внешней стимуляции;
4- сильно выраженная степень: минимальный уровень мотивации при выполнении целенаправленных действий, требуется постоянная внешняя стимуляция;
5- очень сильно выраженная степень: выраженная недостаточность влечений и энергии, что отражается на достижении поставленной цели, большинство целенаправленных действий не доводятся до конца, требуется постоянная внешняя стимуляция, которая не всегда оказывается успешной;
6- крайняя степень выраженности: внешняя стимуляция безуспешна, целенаправленной активности нет
Н3 Уменьшение эмоциональной экспрессии
Наличие одного или более из следующих пунктов:
а) уплощение, снижение, сокращение продолжительности эмоционального ответа, что характеризуется мимикой, модуляцией голоса (монотонная речь) и жестикуляцией (однообразное положение тела);
б) недостаток спонтанной речи, продолжительности монолога, сокращение количества слов в беседе, проявляет небольшую инициативу в общении при наличии тенденции к односложным ответам, краткости;
в) недостаток речи, обеднение проявлений эмпатии, уменьшение открытости в беседе, чувства сопричастности к собеседнику, интереса и вовлеченности в беседу, что свидетельствует о дистанцировании и сокращении процессов вербально и невербальной коммуникации;
0- отсутствие;
1- сомнительная степень: отсроченный или притупленный эмоциональный отклик;
2- слабая степень: в беседе наблюдается недостаток живости, неестественность;
3- умеренная степень: минимальная степень экспрессии эмоций при сохранении способности продолжать разговор;
4- сильно выраженная степень: трудности в поддержании беседы, монотонная речь, минимальная эмпатия, избегание зрительного контакта;
5- очень сильно выраженная степень: начало и поддержание беседы требует активных вопросов со стороны собеседника, аффект уплощен, полное отсутствие жестикуляции;
6- крайняя степень выраженности: уплощенный монотонный аффект, не принимает участия в разговоре, несмотря на активные вопросы.
Н4 Уменьшение эмоциональной чувствительности
Наличие одного или более из следующих пунктов:
а) эмоциональная чувствительность и экспрессия становятся трудно распознаваемыми, искусственными, неадекватными ситуации;
б) ощущение дистанцированности в беседе, затруднение взаимопонимания;
в) притупление эмоций, ослабления чувства радости и горя;
г) чувство бесчувствия, ангедония, апатия, потеря интереса, скука;
д) ощущение измененности, нереальности или странности;
явления деперсонализации, отстраненности от окружающего;
е) потеря чувства собственного «я».
0- отсутствие
1- сомнительная степень: чувство отгороженности от окружающих, стойкое ощущение эмоциональной притупленности, сглаженности, тусклости;
2- слабая степень: недостаток сильных эмоций или ясно определяемых чувств;
3- умеренная степень: эмоции переживаются как приглушенные, притупленные или с трудом различаемые;
4- сильно выраженная степень: чувство «омертвения», уплощенности или недифференцированного отвращения к себе, трудности в переживании эмоций, в том числе острых (радость, горе);
5- очень сильно выраженная степень: чувство потери собственного «Я», деперсонализация, чувство собственной измененности, странности, может чувствовать себя отчужденным от собственного тела, окружения, времени, эти ощущения фиксируются постоянно;
6- крайняя степень выраженности: ощущение глубокой собственной измененности и чуждости, полное отсутствие переживания эмоций.
Н5 Ослабление идеаторной активности:
Наличие одного или более из следующих пунктов:
а) трудности абстрактного мышления, нарушения абстрактно-символической сферы проявляются в трудностях классификации, обобщении, прибегании к конкретному и эгоцентрическому типам мышления при решении сложных задач, часто использование конкретного мышления;
б) упрощение структуры речи, исчезновение причастных оборотов, дополнений;
в) стереотипное мышление, нарушение плавности речи, спонтанности, застревание на одном предмете, что свидетельствует о ригидности, повторяемости и бесплодности содержания мышления, некоторая ригидности установок и убеждений, может отказываться от рассмотрения альтернативы или испытывать трудности при переходе с одного предмета беседы на другой;
г) как слушатель не может различить по смыслу сходные по звучанию фразы, уловить суть беседы.
0- отсутствие
1- сомнительная степень: некоторые затруднения, неловкость в беседе;
2- слабая степень: трудности понимания нюансов беседы, снижение способности к диалогу;
3- умеренная степень: неверная интерпретация многих пословиц, использование простых предложений, пропуск абстрактных абзацев при выполнении заданий;
4- сильно выраженная степень: периодически теряет «нить» беседы, стереотипная и персеверационная речь, небогатый словарный запас, используются простые слова и предложения, конкретность суждений;
5- очень сильно выраженная степень: трудности в описании событий при относительной сохранности способности следить за вопросами и реагировать на простые утверждения, словарный запас ограничен, вербальная продукция ограничивается простыми словами и короткими предложениями, может испытывать трудности в интерпретации пословиц и выполнении сравнений;
6- крайняя степень выраженности: временами не способен поддержать разговор, независимо от его сложности, словарный запас значительно ограничен самыми простыми словами или односложными ответами (да/нет).
Н6 Нарушения в ролевом функционировании
Наличие одного или более из следующих пунктов:
а) трудности осуществления ролевого функционирования (как работник, студент, домохозяйка), что раньше не вызывало сложностей;
б) нарушения продуктивных взаимоотношений с коллегами, одноклассниками, сокурсниками.
0- отсутствие
1- сомнительная степень: для поддержания работоспособности требуются определенные усилия;
2- слабая степень: трудности производственного или учебного функционирования, очевидные ля окружающих;
3- умеренная степень: отчетливые проблемы в решении производственных задач или сдаче экзаменов;
4- сильно выраженная степень: неудачи в одном или нескольких занятиях, замечания, испытательные сроки на работе;
5- очень сильно выраженная степень: прогулы и другие значительные проблемы в следовании требованиям, отсутствие на работе в связи с проблемами, неспособность работы в коллективе;
6- крайняя степень выраженности: тотальное непосещение, отчисление с учебы, увольнение за прогулы.
СУБШКАЛА В
СИМПТОМЫ ДЕЗОРГАНИЗАЦИИ
Д1 Странное поведение и явления
Наличие одного или более из следующих пунктов:
а) странное, эксцентричное или своеобразное поведение (например, коллекционирование мусора, разговор с самим собой на людях, накопление пищевых продуктов, импульсивное поведение);
б) неадекватный ситуации аффект;
в) манерность и позирование, неестественные движения и позы, неуклюжие движения, высокопарность, напыщенность, дискоординированность, диспластичность.
0- отсутствие
1- сомнительная степень: особенности поведения и внешнего вида;
2- слабая степень: поведение и внешний вид необычные и странные;
3- умеренная степень: странное, необычное поведение, внешний вид, интересы, хобби и занятия, которые выходят за рамки культуральной нормы, может вести себя неадекватно ситуации;
4- сильно выраженная степень: поведение и внешний вид не соответствуют общепринятым нормам, пациент может казаться растерянным, дискоординированым, движения разлажены, диспластичны;
5- очень сильно выраженная степень: значительные странности в поведении и внешнем виде, периодическая охваченность собственными переживаниями, ответы вне контекста беседы, неадекватный ситуации аффект, неприятие окружающими;
6- крайняя степень выраженности: грубо нелепые внешний вид и поведение (собирание мусора, разговор с самим собой на людях), несоответствие аффекта содержанию речи.
Д2 Причудливое мышление
Мышление характеризуется наличием странными, фантастическими или нелепыми идеями (искаженность, алогичность или абсурдность).
0- отсутствие
1- сомнительная степень: редкие кратковременные причудливые идеи;
2- слабая степень: случайные идеи необычного содержания, алогия, искажения в мышлении;
3- умеренная степень: постоянные идеи необычного содержания, алогия и искажения мышления, которые можно квалифицировать как убеждения или философское мировоззрение, не выходящее за рамки культуральных норм;
4- сильно выраженная степень постоянные идеи необычного содержания, охватывающие пациента и выходящие за рамки общепринятых религиозных или философских представлений;
5- очень сильно выраженная степень: алогичные конструкции странных идей, не понятных окружающим;
6- крайняя степень выраженности: охваченность фантастическими абсурдными неструктурированными идеями, недоступными для понимания окружающими.
Д3 Трудности концентрации внимания и сосредоточения
Наличие одного или более из следующих пунктов:
а) повышенная отвлекаемость на внешние и внутренние раздражители;
б) ухудшение формирования и удерживания внимания на предмете или смещение фокуса внимания на новый раздражитель;
в) повышенная отвлекаемость;
г) сложности в удержании в памяти предмета разговора.
0- отсутствие;
1- сомнительная степень: случайные промахи при сосредоточении внимания на фоне психофизических нагрузок;
2- слабая степень: случайные расстройства внимания при решении повседневных задач;
3- умеренная степень: постоянные проблемы в сосредоточении внимания, сопровождающиеся трудностями поддержания беседы;
4- сильно выраженная степень: постоянные отвлечения внимания с утерей «нити» беседы;
5- очень сильно выраженная степень: может поддерживать необходимый уровень внимания и сосредоточения только при внешней поддержке;
6- крайняя степень выраженности: не способен к сосредоточению даже при внешней поддержке.
Д4 Нарушения в соблюдении личной гигиены и выполнении социальных требований
Наличие одного или более из следующих пунктов:
а) неопрятность, неухоженность, запущенность внешнего вида;
б) несоблюдение социальных норм, вызывающее поведение, безучастность или обособленность, чудачества, склонность внезапно без видимой причины прекращать беседу.
0- отсутствие
1- сомнительная степень: недостаточное внимание к личной гигиене при соблюдении социальных требований к внешнему виду;
2- слабая степень: недостаточное внимание к личной гигиене, некоторая неряшливость, при соблюдении в целом социальных норм;
3- умеренная степень: периодическое, чаще ситуационное, безразличие к социальным нормам в отношении внешнего вида и одежды:
4- сильно выраженная степень: постоянная небрежность в отношении культуральных норм гигиены;
5- очень сильно выраженная степень: регулярно не моется, вид неопрятный, одежду не стирает, может источать неприятный запах;
6- крайняя степень выраженности: не заботится о внешнем виде, совсем не моется, источает неприятный запах, неопрятность не корригируется даже при прямом указании со стороны окружающих.
СУБШКАЛА Г
ОБЩИЕ СИМПТОМЫ
О1 Нарушение сна
Наличие одного или более из следующих пунктов:
а) трудности засыпания;
б) ранние пробуждения без последующего засыпания;
в) дневная сонливость;
г) инверсия суточного ритма.
0- отсутствие
1- сомнительная степень: сон не приносит чувства отдыха;
2- слабая степень: небольшие трудности засыпания или ночные пробуждения с последующим засыпанием;
3- умеренная степень: дневная сонливость, как результат трудностей засыпания или ранних пробуждений, более длительный сон, чем в норме;
4- сильно выраженная степень: сон значительно нарушен, что влияет на функционирование (ухудшение успеваемости или опоздания из-за сонливости);
5- очень сильно выраженная степень: значительные трудности засыпания или ранние пробуждения становятся ежедневными, может иметь место инверсия ритма сна, обычно пропускает дела, распланированные на день;
6- крайняя степень выраженности: невозможность заснуть в течение более чем двое суток.
О2 Дисфоричное настроение
Наличие одного или более из следующих пунктов, характеризующих депрессию:
а) снижение интереса к прежним увлечениям;
б) нарушения сна;
в) повышение или снижение аппетита;
г) анергия;
д) трудности концентрации внимания;
е) суицидальные мысли;
ж) чувство собственной никчемности и/или вины.
И наличие одного или более из следующих пунктов:
а) тревога, паника, различные страхи и фобии;
б) раздражительность, враждебность, гнев;
в) невозможность расслабиться, напряженность, ажитация;
г) нестабильный фон настроения.
0- отсутствие
1- сомнительная степень: часто чувствует себя подавленным или раздражительным;
2- слабая степень: ситуационно нестабильные и/или непредсказуемые периоды печали, плохого настроения, мрачных мыслей, которые могут сочетаться с тоской, раздражительностью или тревогой;
3- умеренная степень: чувства грусти, тревоги и недовольства;
4- сильно выраженная степень: периодически возникающие эпизоды грусти, раздражительности или подавленности;
5- очень сильно выраженная степень: постоянное присутствие сочетания подавленности, тревоги и раздражительности, расстройство влечений (злоупотребление ПАВ);
6- крайняя степень выраженности: выраженное сочетание подавленности, раздражительности и тревоги, что определяет поведение (суицидальные мысли/намерения/поступки, самоповреждения).
О3 Двигательные нарушения
Наличие одного или более из следующих пунктов:
а) субъективные или объективные признаки диспластичности, дискоординация, появившиеся трудности моторики при отсутствии их в прошлом;
б) появление новых движений, таких как невротические привычки, стереотипии, характерные особенности при выполнении какого-либо дела, позирование или копирование движений кого-либо из окружающих;
в) скованность, прерывистость движений;
г) утеря автоматизма движений;
д) компульсивные двигательные ритуалы.
0- отсутствие
1- сомнительная степень: некоторая неловкость в движениях;
2- слабая степень: субъективная и объективная неуклюжесть движений;
3- умеренная степень: нарушение координации, обеднение движений, трудности в мелкой моторике;
4- сильно выраженная степень: стереотипии в двигательной сфере, нередко нелепые, неадекватные ситуации;
5- очень сильно выраженная степень: навязчивые движения (невротические привычки), ритуалы, позерство, гримасничанье;
6- крайняя степень выраженности: утеря естественности движений, кататонические явления, эхопраксия, дискинезия.
О4 Снижение толерантности к стрессу
Наличие одного или более из следующих пунктов:
а) избегание стрессовых ситуаций или их непереносимость и высокая истощаемость при сохранной стрессоустойчивости в прошлом;
б) явные признаки тревоги в ответ на повседневные раздражители;
в) усиление эмоциональных реакций на раздражительности при способности держать себя в руках в прошлом.
0- отсутствие
1- сомнительная степень: усталость, истощенность в конце дня;
2- слабая степень: повседневные неурядицы вызывают неожиданно сильные приступы тревоги;
3- умеренная степень: замешательство в ситуации повседневных неурядиц;
4- сильно выраженная степень: усиленное противодействие повседневному стрессу;
5- очень сильно выраженная степень: избегает ситуаций, вызывающих стресс или чувствует подавленность вследствие повседневных раздражителей;
6- крайняя степень выраженности: дезорганизация поведения, паника, апатия или реакция отказа в ответ на повседневный стресс.
Приложение 2
ШКАЛАОЦЕНКИПРЕМОРБИДА - PAS (Premorbid Adjustment Scale)
Субшкала «Детство» (до 11 лет)
- Социальная активность
0 – Нет социальной отгороженности,
2 – Слабая степень социальной отгороженности, социальные контакты удовлетворительные при поощрении, снижение социальной активности в неблагоприятных условиях,
4 – Выраженная социальная отгороженность, патологическое фантазирование, возможно пассивное вовлечение в социальную активность, однако сам инициативы не проявляет,
6 – Самоизоляция, избегает социальных контактов.
- Личностные взаимоотношения
0 – Много друзей (более 5), тесные дружеские связи («лучшие друзья» или доверительные отношения) с несколькими сверстниками,
1 – 2-5 друзей
2 – Дружба с 1-2 сверстниками, формальные отношения с остальными,
3 – Только формальные отношения,
4 – Девиантные дружеские отношения, дружба с детьми значительно старше или младше или только формальные отношения,
6 – Социальная изоляция, нет друзей, нет предпочтений в отношениях.
- Учеба в школе (по сравнению с остальными учениками того же возраста в общей популяции (например, если отлично успевает только по избранным предметам – оценка не более 4)
0 – Отличная успеваемость (оценки только «5»),
1 – Оценки «4» и «5»,
2 – Хорошая успеваемость (оценки «4»),
3 – Оценки «3» и «4»,
4 – Удовлетворительная успеваемость (оценки «3»),
5 – «2» по некоторым предметам в четверти, полугодии,
6 – Исключение за неуспеваемость.
- Школьная адаптация
0 – Хорошая адаптация, нравится класс, отсутствие или редкие дисциплинарные нарушения, имеет друзей в школе, нравится большинство учителей,
1 – Нравится класс, редкие дисциплинарные нарушения,
2 – Достаточная адаптация, случаются дисциплинарные нарушения, нет предпочтений в школьных предметах, нет особенной заинтересованности в школе, однако не прогуливает занятия. Имеет друзей в школе, но редко участвует во внешкольных мероприятиях,
3 – Иногда прогуливает занятия в школе,
4 – Плохая адаптация, не нравится школа, частые прогулы, частые дисциплинарные нарушения, возможные временные исключения из школы,
5 – Отказ посещать школу,
6 – Категорический отказ посещать школу, вплоть до деликвентного поведения и актов вандализма, направленных против посещения школы.
Субшкала «Ранний подростковый период (12-15 лет)»
- Социальная активность
0 – Нет социальной отгороженности,
2 – Слабая степень социальной отгороженности, удовлетворительные социальные контакты при вовлечении в социальную активность, изредка ищет возможность уклонится от социальной активности,
4 – Выраженная социальная отгороженность, патологическое фантазирование, пассивно вовлекается в социальную активность, но инициативы не проявляет,
6 - Самоизоляция, избегает социальных контактов.
- Личностные взаимоотношения
0 – Много друзей (более 5), тесные дружеские связи («лучшие друзья» или доверительные отношения) с несколькими сверстниками,
1 – 2-5 друзей
2 – Дружба с 1-2 сверстниками, формальные отношения с остальными,
3 – Только формальные отношения,
4 – Девиантные дружеские отношения, дружба с детьми значительно старше или младше или только формальные отношения,
6 – Социальная изоляция, нет друзей, нет предпочтений в отношениях.
- Учеба в школе (по сравнению с остальными учениками того же возраста в общей популяции (например, если отлично успевает только по избранным предметам – оценка не более 4)
0 – Отличная успеваемость (оценки только «5»),
1 – Оценки «4» и «5»,
2 – Хорошая успеваемость (оценки «4»),
3 – Оценки «3» и «4»,
4 – Удовлетворительная успеваемость (оценки «3»),
5 – «2» по некоторым предметам в четверти, полугодии,
6 – Исключение за неуспеваемость.
- Школьная адаптация
0 – Хорошая адаптация, нравится класс, отсутствие или редкие дисциплинарные нарушения, имеет друзей в школе, нравится большинство учителей,
1 – Нравится класс, редкие дисциплинарные нарушения,
2 – Достаточная адаптация, случаются дисциплинарные нарушения, нет предпочтений в школьных предметах, нет особенной заинтересованности в школе, однако не прогуливает занятия. Имеет друзей в школе, но редко участвует во внешкольных мероприятиях,
3 – Иногда прогуливает занятия в школе,
4 – Плохая адаптация, не нравится школа, частые прогулы, частые дисциплинарные нарушения, возможные временные исключения из школы,
5 – Отказ посещать школу,
6 – Категорический отказ посещать школу, вплоть до деликвентного поведения и актов вандализма, направленных против посещения школы.
- Отношения с противоположным полом
0 – Появление заинтересованности противоположным полом («здоровый интерес»), возможна сексуальная активность,
1 – Появление заинтересованности противоположным полом, возможна мастурбация, заинтересованность групповым сексом, при недостаточной эмоциональной привязанности,
2 – Заинтересованность в мастурбации при снижении влечения к лицам противоположного пола,
3 – Мастурбация с неадекватными попытками установления взаимоотношений с противоположным полом. Гомо- и гетеросексуальные контакты,
4 – Гомосексуальные контакты с отсутствием заинтересованности противоположным полом,
5 – Отсутствие или редкие гомо- и гетеросексуальные контакты,
6 – Антисоциальное поведение, или активное избегание каких-либо контактов (подразумевается больше активная отгороженность, чем пассивное избегание)
Субшкала «Поздний подростковый период (16-18 лет)»
- Социальная активность
0 – Нет социальной отгороженности,
2 – Слабая степень социальной отгороженности, удовлетворительные социальные контакты при вовлечении в социальную активность, изредка ищет возможность уклонится от социальной активности,
4 – Выраженная социальная отгороженность, патологическое фантазирование, пассивно вовлекается в социальную активность, но инициативы не проявляет,
6 - Самоизоляция, избегает социальных контактов.
- Личностные взаимоотношения
0 – Много друзей (более 5), тесные дружеские связи («лучшие друзья» или доверительные отношения) с несколькими сверстниками,
1 – 2-5 друзей
2 – Дружба с 1-2 сверстниками, формальные отношения с остальными,
3 – Только формальные отношения,
4 – Девиантные дружеские отношения, дружба с людьми значительно старше или младше или только формальные отношения,
6 – Социальная изоляция, нет друзей, нет предпочтений в отношениях.
- Учеба в школе (по сравнению с остальными учениками того же возраста в общей популяции (например, если отлично успевает только по избранным предметам – оценка не более 4)
0 – Отличная успеваемость (оценки только «5»),
1 – Оценки «4» и «5»,
2 – Хорошая успеваемость (оценки «4»),
3 – Оценки «3» и «4»,
4 – Удовлетворительная успеваемость (оценки «3»),
5 – «2» по некоторым предметам в четверти, полугодии,
6 – Исключение за неуспеваемость.
- Школьная адаптация
0 – Хорошая адаптация, нравится класс, отсутствие или редкие дисциплинарные нарушения, имеет друзей в школе, нравится большинство учителей,
1 – Нравится класс, редкие дисциплинарные нарушения,
2 – Достаточная адаптация, случаются дисциплинарные нарушения, нет предпочтений в школьных предметах, нет особенной заинтересованности в школе, однако не прогуливает занятия. Имеет друзей в школе, но редко участвует во внешкольных мероприятиях,
3 – Иногда прогуливает занятия в школе,
4 – Плохая адаптация, не нравится школа, частые прогулы, частые дисциплинарные нарушения, возможные временные исключения из школы,
5 – Отказ посещать школу,
6 – Категорический отказ посещать школу, вплоть до деликвентного поведения и актов вандализма, направленных против посещения школы.
- Отношения с противоположным полом
0 – Всегда проявляет «здоровый интерес» к лицам противоположного пола, проявляет сексуальную активность (не обязательны непосредственно сексуальные контакты),
1 – Регулярное проявление интереса к противоположному полу. Есть только один партнер, с которым «встречается» длительное время. (Включается и сексуальный аспект взаимоотношений, который является необязательным. Создание устойчивой пары),
2 – Гомо- и гетеросексуальные отношения, заинтересованность в групповых отношениях, нет устойчивой пары,
3 – Предпочтение мастурбации со снижением заинтересованности или отсутствием интереса к противоположному полу,
4 – Предпочтение мастурбации с неадекватными попытками установления взаимоотношений с противоположным полом. Гомо- и гетеросексуальные контакты,
5 - Гомо- и гетеросексуальные контакты с недостаточной заинтересованностью противоположным полом. Случайные контакты с противоположным полом.
6 – Отсутствия влечения.
Субшкала «Взрослый период» (с 19 лет).
- Социальная активность
0 – Нет социальной отгороженности,
2 – Слабая степень социальной отгороженности, удовлетворительные социальные контакты при вовлечении в социальную активность, изредка ищет возможность уклонится от социальной активности,
4 – Выраженная социальная отгороженность, патологическое фантазирование, пассивно вовлекается в социальную активность, но инициативы не проявляет,
6 - Самоизоляция, избегает социальных контактов.
- Личностные взаимоотношения
0 – Много друзей (более 5), тесные дружеские связи («лучшие друзья» или доверительные отношения) с несколькими сверстниками,
1 – 2-5 друзей
2 – Дружба с 1-2 сверстниками, формальные отношения с остальными,
3 – Только формальные отношения,
4 – Девиантные дружеские отношения, дружба с людьми значительно старше или младше или только формальные отношения,
6 – Социальная изоляция, нет друзей, нет предпочтений в отношениях.
- Взаимоотношения с противоположным полом.
- A. Состоящие в браке сейчас или в прошлом
0 – Состоит в браке, только один раз (или повторный брак по причине смерти партнера), живут отдельно, адекватные сексуальные взаимоотношения,
1 – Состоит в браке, ранее были эпизоды снижения сексуальной активности или внебрачных отношений,
1 – В браке более одного раза, в настоящем – повторный брак. Адекватные сексуальные отношения хотя бы в одном браке,
2 – В браке, разведен или в повторном браке с постоянной неадекватной сексуальной жизнью,
2 – В браке, но живет отдельно или разведен без повторного вступления в брак, был эпизод полноценной жизни с партнером не менее 3 лет,
3 - В браке, но живет отдельно или разведен без повторного вступления в брак в течение 3 лет, был эпизод полноценной жизни с партнером менее 3 лет,
- B. Никогда не был в браке (для лиц 30 лет и старше)
2 – Были один или несколько партнеров, или были близкие отношения (не менее 2 лет), включая гомо- или гетеросексуальные контакты, или были близкие отношения с привязанностью, которые по каким-либо причинам не получили продолжение в браке,
3 – Гомо- или гетеросексуальные отношения с длительностью от 6 месяцев до 2 лет,
4 – Случайные гомо- или гетеросексуальные связи с одним или более партнерами, не было длительных отношений с одним партнером,
5 – Редкие или нечастые гомо- или гетеросексуальные связи
6 – Минимальный сексуальный или социальный интерес к лицам своего или противоположного пола, изоляция.
- C. Никогда не был в браке (19-29 лет)
0 – Были ходя бы одни длительные отношения (не менее 6 мес), или были близкие отношения, которые по религиозным или иным причинам не могли быть зарегистрированы. Возможно живут вместе,
1 – Имеет несколько партнеров. Отношения длятся несколько месяцев, не было длительных отношений с одним партнером. Отношения могли быть серьезными, но их продолжение в браке по каким-либо причинам не произошло.
3 – Непродолжительные или короткие взаимоотношения с одним или более партнерами, не было длительных отношений с одним партнером,
4 – Случайные сексуальные или социальные контакты с лицами своего и противоположного пола без эмоциональной привязанности,
5 – Нечастые или редкие сексуальные и/или социальные контакты,
6 - Минимальный сексуальный или социальный интерес к лицам своего или противоположного пола, изоляция.
Субшкала «Общие характеристики»
- Образование
0 – Полное высшее образование,
1 – Среднее-специальное и/или неполное высшее,
2 – Среднее образование,
4 – Окончил 8 классов,
6 – Не окончил 8 классов школы.
- Учебная и трудовая занятость за период от 3 лет до 6 месяцев до первой госпитализации или манифестации психоза
0 – Все трудовое время,
2 – Половина трудового времени,
4 – Около 25% трудового времени,
6 – Не было
- Изменения в трудовой или учебной деятельности за период от 1 года до 6 месяцев до первой госпитализации или манифестации происходили
0 – Внезапно,
2 – В течение 3 месяцев,
4 – В течение 6 месяцев,
6 – Постепенно, трудно или невозможно определить начало ухудшения
- Частота эпизодов ухудшения трудовой или учебной деятельности или временного прекращения учебной деятельности за период от 3 лет до 6 месяцев до первой госпитализации или манифестации психоза
0 – Сохранение прежней трудовой и учебной активности,
2 – Смена работы или перерывы в учебе 2-3 раза за весь период,
4 – Сохранение трудовой и учебной активности на одном месте от 8 месяцев до 1 года,
6 – Периоды трудовой или учебной деятельности менее 2 недель
- Независимость от родителей
0 – Успешно живет отдельно от родителей, самостоятелен, сам себя обеспечивает,
2 – Была безуспешная попытка жить отдельно. В настоящем живет в родительском доме. Частично обеспечивает свои потребности.
4 – Живет в родительском доме, следует советам родителей.
6 – Не было попыток жить самостоятельно, полностью зависим от родителей.
- Общая оценка качества жизни пациента
0 – Полностью удовлетворен (1)учебой или работой, (2)дружескими отношениями, (3)сексуальными отношениями, (4)имеет хобби и т.д. Доволен качеством жизни,
2 – В целом удовлетворен жизнью, но хотя бы в одной области жизни неуспешен,
4 – Неуспешен в 3 сферах,
6 – Неспособен функционировать или получать удовольствие от всех областей жизни.
- Установление социальных и межличностных связей (оценивается по последнему периоду хорошего функционирования)
0 – Руководитель или чиновник в официальных организациях, клубах, группах. Учится в школе, институте, активно участвует в общественной жизни. Вовлечен в социальные контакты с окружающими,
1 – Активный или заинтересованный участник, но не занимает руководящих позиций в различных социальных группах. Вовлечен в социальные контакты с окружающими,
2 – Формальный член социальной группы, не вовлечен в неформальные отношения. Имеет нескольких близких друзей,
3 – С подросткового возраста формальные дружеские отношения с несколькими знакомыми,
4 – С подросткового возраста друзей нет, отношения только формальные,
5 – С подросткового возраста замкнутый, малообщительный, предпочитает одиночество, минимальные попытки контактировать с окружающими,
6 – Нет желания контактировать с окружающими. Асоциальность или антисоциальность.
- Интересы в жизни
0 – Множество устойчивых интересов в следующих областях: дом, семья, друзья, работа, спорт, искусство, животные, растения, социальная активность, музыка, театр,
2 – Выраженная заинтересованность в некоторых сферах жизни, включая социальную активность, спорт, музыку и сексуальные отношения,
4 – Средне выраженная заинтересованность по нескольким сферам, таким как работа, семья, спокойная социальная деятельность. Интересы нестойкие.
6 – Отсутствие каких-либо увлечений и интересов.
- Жизненный тонус
0 – Активный, сильный, любит жизнь и умеет получать удовольствие. Общительный, внимательный, адекватный в межличностных отношениях,
2 – В основном адекватная активность, жизнестойкость,
4 – Значительное снижение жизненного тонуса, тенденция с созерцательности, пассивности, может справиться с жизненными трудностями, но чаще старается избежать их,
6 – Пассивный, созерцательный подход к жизни. Слабая жизнестойкость, не может справиться с проблемами, избегает их. Пассивный участник жизни.
Приложение 3
Карта первичной оценки больных
- Ф.И.О. больного______________________________________________________________
- Возраст______________________________________________________________________
- Дата обследования____________________________________________________________
- Длительность заболевания______________________________________________________
- Длительность настоящего состояния_____________________________________________
- Диагноз МКБ-Х: ______________________________________________________________
- Преобладающий синдром ______________________________________________________
ШКАЛА ОЦЕНКИ ПРОДРОМАЛЬНЫХ СИМПТОМОВ (SOPS)
|
ПП |
СИМПТОМ (0-6 баллов) |
До лечения |
После лечения |
|
ПОЗИТИВНЫЕ СИМПТОМЫ |
|||
|
П1 |
Необычное содержание мыслей / бредовые мысли |
||
|
П2 |
Подозрительность / идеи преследования |
||
|
П3 |
Идеи величия |
||
|
П4 |
Перцептивные расстройства / галлюцинации |
||
|
П5 |
Расстройства мышления |
||
|
НЕГАТИВНЫЕ СИМПТОМЫ |
|||
|
Н1 |
Социальная изоляция / избегание |
||
|
Н2 |
Самоустранение |
||
|
Н3 |
Уменьшение эмоциональной экспрессии |
||
|
Н4 |
Уменьшение эмоциональной чувствительности |
||
|
Н5 |
Ослабление идеаторной активности |
||
|
Н6 |
Нарушения в ролевом функционировании |
||
|
СИМПТОМЫ ДЕЗОРГАНИЗАЦИИ |
|||
|
Д1 |
Странное поведение и явления |
||
|
Д2 |
Причудливое мышление |
||
|
Д3 |
Трудности концентрации внимания |
||
|
Д4 |
Нарушения в соблюдении личной гигиены и выполнении социальных норм |
||
|
ОБЩИЕ СИМПТОМЫ |
|||
|
О1 |
Нарушение сна |
||
|
О2 |
Дисфоричное настроение |
||
|
О3 |
Двигательные нарушения |
||
|
О4 |
Снижение толерантности к стрессу |
||
|
СУММА БАЛЛОВ |
ШКАЛА ГАМИЛЬТОНА ДЛЯ ОЦЕНКИ ДЕПРЕССИИ (HDRS)
|
ПП |
СИМПТОМ |
До лечения |
После лечения |
|
1. |
Депрессивное настроение (0-4) |
||
|
2. |
Чувство вины (0-4) |
||
|
3. |
Суицид (0-4) |
||
|
4. |
Бессонница ранняя (0-2) |
||
|
5. |
Бессонница средняя (0-2) |
||
|
6. |
Бессонница поздняя (0-2) |
||
|
7. |
Работа и другая активность (0-4) |
||
|
8. |
Заторможенность (0-4) |
||
|
9. |
Волнение (ажитация) (0-4) |
||
|
10. |
Психическая тревога (0-4) |
||
|
11. |
Соматическая тревога (0-4) |
||
|
12. |
Сом. Симптомы – жел.кишечные (0-2) |
||
|
13. |
Сом. Симптомы – общие (0-2) |
||
|
14. |
Генитальные симптомы (0-2) |
||
|
15. |
Ипохондрия (0-4) |
||
|
16. |
Потеря веса (0-2) + еженедельно (0-3) |
||
|
17. |
Сознание болезни (0-2) |
||
|
18. |
Сут.колебания (0-4) 1-прав., 2-инверт. + 1-слаб., 2-выр. |
||
|
19. |
Деперсонализация (0-4) |
||
|
20. |
Параноидные симптомы (0-3) |
||
|
21. |
Обсес. и компульсивные симптомы (0-2) |
||
|
Общее количество баллов: |
ШКАЛА ОЦЕНКИ ПРЕМОРБИДА (PAS)
|
№№ |
ПУНКТЫ ШКАЛЫ |
До лечения |
После лечения (приемлемо для шкалы «Общие характеристики») |
|
«Детство» до 11 лет |
|||
|
1 |
Социальная активность (0-6) |
||
|
2 |
Личностные взаимоотношения (0-6) |
||
|
3 |
Учеба в школе (0-6) |
||
|
4 |
Школьная адаптация (0-6) |
||
|
MAX 24 БАЛЛА |
|||
|
«Ранний подростковый период» 12-15 лет |
|||
|
1 |
Социальная активность (0-6) |
||
|
2 |
Личностные взаимоотношения (0-6) |
||
|
3 |
Учеба в школе (0-6) |
||
|
4 |
Школьная адаптация (0-6) |
||
|
5 |
Отношения с противоположным полом (0-6) |
||
|
MAX 30 БАЛЛОВ |
|||
|
«Поздний подростковый период» 16-18 лет |
|||
|
1 |
Социальная активность (0-6) |
||
|
2 |
Личностные взаимоотношения (0-6) |
||
|
3 |
Учеба в школе (0-6) |
||
|
4 |
Школьная адаптация (0-6) |
||
|
5 |
Отношения с противоположным полом (0-6) |
||
|
MAX 30 БАЛЛОВ |
|||
|
«Взрослый период» с 19 лет |
|||
|
1 |
Социальная активность (0-6) |
||
|
2 |
Личностные взаимоотношения (0-6) |
||
|
3 |
Отношения с противоположным полом (0-6) |
||
|
MAX 18 БАЛЛОВ |
|||
|
«Общие характеристики» |
|||
|
1 |
Образование (0-6) |
||
|
2 |
Учебная /трудовая деятельность (0-6) |
||
|
3 |
Изменения в учебной/трудовой занятости (0-6) |
||
|
4 |
Частота эпизодов ухудшения (0-6) |
||
|
5 |
Независимость от родителей (0-6) |
||
|
6 |
Общая оценка качества жизни (0-6) |
||
|
7 |
Установление социальных связей (0-6) |
||
|
8 |
Интересы в жизни (0-6) |
||
|
9 |
Жизненный тонус (0-6) |
||
|
MAX 54 БАЛЛА |
|||
Литература
- Каледа В.Г., Мезенцева О.Е., Крылова Е.С., Бархатова А.Н. Особенности доманифестного этапа эндогенного психоза с первым приступом в юношеском возрасте. Журнал неврологии и психиатрии им. С.С. Корсакова. 2012;112(5):22-28
- Клюшник Т.П., Омельченко М.А., Сарманова З.В., Зозуля С.А., Отман И.Н., Дупин А.М., Каледа В.Г. Возможность использования иммунологических показателей для оценки риска развития эндогенных психозов у больных с непсихотическими расстройствами юношеского возраста. Журн неврол и психиат. 2014; 10: 60-64
- Омельченко М.А., Голубев С.А., Никифорова И.Ю., Каледа В.Г. Риск манифестации эндогенных психозов у больных с непсихотическими психическими расстройствами юношеского возраста. Журн. неврол и психиат. 2014;6:14-20
- Сергеева О.Е., Каледа В.Г., Голимбет В.Е. К вопросу о выявлении в подростково-юношеском возрасте группы высокого риска манифестации эндогенных психозов (психопатологические и молекулярно-генетические аспекты). Журнал «Психиатрия». 2014;3;59-60
- Addington J., Cornblatt B., Cadenhead K., Cannon T., McGlashan T., Perkins D., Seidman L., Tsuang M., Walker E., Woods S., Heinssen R. At clinical high risk for psychosis: outcome for nonconverters. Am J Psychistry. 2011;168(8):800-805.
- Cannon T., Cadenhead K., Cornblatt B., Woods S., Addington J., Walkner E., Seidman L., Perkins D., Tsuang M., McGlashan T., Heinssen R. Predictors of psychosis in youth at high clinical risk. A multisite longitudinal study in North America. Arch Gen Psychiatr 2008;65(1):28-37
- Cuesta M., Gil P., Artamendi M., Serrano J., Peralta V. Premorbid personality and psychopathological dimensions in first-episode psychosis. Schizophr Res. 2002; 58:273–280
- , Soulsby B., Mechelli A., Wood S., Velakoulis D., Phillips L., Yung A., Chitnis X., Lin A., Murray R., McGorry P., McGuire P., Pantelis C.. Volumetric Abnormalities Predating the Onset of Schizophrenia and Affective Psychoses: An MRI Study in Subjects at Ultrahigh Risk of Psychosis Schizophrenia Bulletin. 2012;38(5):1083-1091
- Demjaha A., Valmaggia L., Byrne M., McGuire P. Disorganization/cognitive and negative symptom dimensions in the at-risk mental state predict subsequent transition to psychosis. Schizophr Bull. 2010
- Fusar_Poli P., Howes O., Allen P., Broome M., Valii I., Asselin M., Grasby P., McGuire P. Abnormal frontostriatal inretactions in people with prodromal signs of psychosis: a multimodal imaging study. Arch Gen Psychiatry. 2010;(7):683-691.
- Fusar-Poli P., Bonoldi I., Yung A., Borgwardt S., Kempton M., Barale F., Caverzasi E., McGuire P. Prediction psychosis: meta-analysis of transition outcome in individuals at high clinical risk. Arch Gen Psychiatry. 2012;69(3):220-229
- Fusar-Poli P., Borgwardt S. Intergrating the negative psychotic symptoms in the high risk criteria for the prediction of psychosis. Med Hypotheses. 2007;69(4):959-960
- Keshavan M., Diwadkar V., Montrose D. et al. Premorbid indicators and risk for schizophrenia: a selective review and update. Schizophrenia Res.2005;79(1):45-59
- Kessler R., Price R. Primary prevention of secondary disorders: a proposal and agenda. Am J Community Psycol. 1993;21(5):607-633.
- Lappin J., Dazzan P., Morgan K., Morgan C., Chitnis X., Suckling J., Fearon P., Jones P., Leff J., Murray R., McGuire P.Duration of prodromalphase and severity of volumetricabnormalities in first-episodeBr J Psychiatry Suppl. 2007;51:123–127
- McGorry P., Yung A., Phillips L., Yuen H., Francey S., Cosgrave E., Germano D., Bravin J., McDonald T., Blair A., Adlard S., Jackson H. Randomized controlled trial of interventions designed to reduce the risk of progression to first-episode psychosis in a clinical sample with subthreshold 4symptoms. Arch Gen Psychiatry. 2002;59:921–928
- Rurhmann S., Schultze-Lutter F., Salokangas R., Heinimaa M., Linszen D., Dingemans P., Birchwood M., Patterson P., Juckel G., Heinz A., Morrison A., Lewis S., von Reventlow H., Klosterkotter J. Prediction of psychosis in adolescents and young adults at high risk: results from the prospective European Prediction of Psychosis Study. Arch Gen Psychiatry. 2010;67(3):241-251
- Schimmelmann B., Michel C., Schaffner N., Schultze-Lutter F. What percentage of people in the general population satisfies the current clinical at-risk criteria of psychosis? Schizophr Res. 2011;125(1):99-100
- Schimmelmann B., Walgner P., Schultze-Lutter F. The significance of at-risk symptoms of psychosis in children and adolescents. Can J Psychiatry. 2013 Jan;58(1):32-40
- Simon A., Velthorst E., Nieman D., Linszen D., Umbricht D., de Haan L. Ultra high-risk state for psychosis and non-transition: a systematic review. Schizophr Res. 2011;132(1):8-17.
- Yung A., McGorry P. The initial prodrome in psychosis:descriptive and qualitative aspects. Aust N Z J Psychiatry. 1996;30:587-599
- Yung A., Nelson B., Thompson A., Wood S. The psychosis threshold in Ultra High Risk (prodromal) research: is it valid? Schizophr Res.2010;120(1-3):1-6
- Yung A., Nelson B., Yuen H., Spiliotacopoulos D., Lin A., Simmonds H., Bruxner A., Brossard C., Thompson A., McGorry P. Long term outcome in an ultra high risk (“prodromal”) group. Schizophr Bull. 2011;37:22-23.
- Yung A., Phillips L., McGorry P. McFarlane C., Francey S., Harrigan S., Patton G., Jackson H. Prediction of psychosis. A step towards indicated prevention of schizophrenia. Br J Psychiatry Suppl. 1998;172:14-20
- Yung A., Phillips L., Yuen H., McGorry P. Risk factors for psychosis in an ultra high-risk group: psychopathology and clinical features. Schizophr Res. 2004;67:131–142
- Ziermans T., Schothorst P., Sprong M., van Engeland H. Transition and remission in adolescents at ultra-high risk for psychosis. Schizophr Res. 2011;126(1-3):58-64
* Подсчет результатов производится путем суммирования набранных баллов по каждому возрастному периоду и последующего деления на максимально возможное значение соответствующих субшкал. Средний показатель высчитывается как среднее арифметическое полученных результатов и соответствует преморбиду высокого качества, если составляет от 0 до 0,22, пограничному - при значениях от 0,23 до 0,52 и низкому, в случае превышения 0,53